Polinomios y Fracciones Algebraicas
(43) ejercicios de Polinomios y Fracciones Algebraicas
-
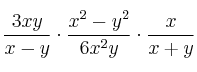
Opera y simplifica:

-
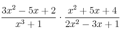
Opera y simplifica:

-
Opera y simplifica:

-
Opera y simplifica:

-
Opera y simplifica

