Sistemas de Ecuaciones
(25) ejercicios de Sistemas de Ecuaciones
-
Resuelve el sistema de ecuaciones:

-
Resuelve el sistema de ecuaciones:

-
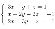
Resuelve el sistema de ecuaciones:

-
Resuelve por el método de Gauss el sistema de ecuaciones:

-
Resuelve por el método de Gauss el sistema de ecuaciones:

