Funciones (I)
(145) ejercicios de Funciones (I)
-
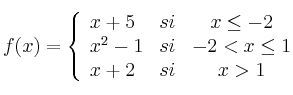
Estudia gráfica y analíticamente la continuidad de la función:

-
Estudia analíticamente la continuidad de la siguiente función en el punto
:

-
Estudia la continuidad en los puntos
y
de la función:

-
Halla el valor de
para que la siguiente función sea continua:

Represente gráficamente la función para el valor de
que la hace continua.
-
Halla los valores de
y
para que la siguiente función sea continua:

