Funciones (I)
(145) ejercicios de Funciones (I)
-
¿Existe alguna función que sea par e impar a la vez?
-
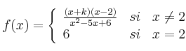
Halla el valor de
para que la siguiente función sea continua en

-
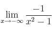
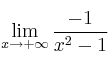
Calcula los siguientes límites y esboza las ramas en el infinito
–
–
-
Calcula los siguientes límites y esboza las ramas en el infinito
–
–
-
Calcula los siguientes límites y esboza las ramas en el infinito
–
–
