Inecuaciones
(27) ejercicios de Inecuaciones
-
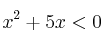
Resuelve la inecuación

-
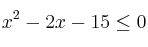
Resuelve la inecuación

-
Resuelve la inecuación

-
Resuelve la inecuación

-
Resuelve la inecuación

