Polinomios y Fracciones Algebraicas
(43) ejercicios de Polinomios y Fracciones Algebraicas
-
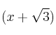
Calcula ’a’ y ’b’ para que el polinomio
sea divisible por
y de un resto de 9 al dividir por 
-
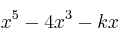
Calcula el valor de ’k’ para que al dividir
por
se obtenga de resto 
-
Halla
,
y
para que el polinomio
sea divisible por
,
y de resto 4 al dividirlo por 
-
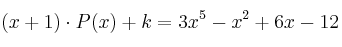
Encuentra un polinomio
y un número real
que verifiquen:

-
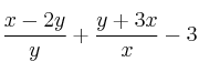
Calcula y simplifica:
