Polinomios y Fracciones Algebraicas
(43) ejercicios de Polinomios y Fracciones Algebraicas
-
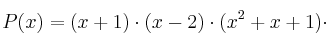
Hallar
y
para que el polinomio
sea divisible por
y además verifique que al dividir por
se obtenga el mismo resto que al dividir por 
-
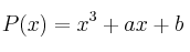
Hallar los valores
y
para que el polinomio
se pueda expresara de la forma 
-
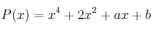
Hallar los valores de
y
para que el polinomio
tenga como raíz doble 
-
Encuentra un polinomio
que verifique la siguiente igualdad:

-
Calcula m y n para que se cumpla:

