• Apuntes
  • Vídeos
  • Ejercicios
    • Resueltos
    • Por Curso
      • 1º ESO
      • 2º ESO
      • 3º ESO
      • 4º ESO
      • 1º BACH. CIENCIAS
      • 1º BACH. SOCIALES
      • 2º BACH. CIENCIAS
      • 2º BACH. SOCIALES
  • Más recursos
    • Actividades Interactivas
    • Selectividad (PAU)
    • Acceso Mayores 25
    • LaTeX
Inicio ›EJERCICIOS de Matemáticas ›1º BACH. CIENCIAS ›Polinomios y Fracciones Algebraicas ›Ejercicio Polinomios

Ejercicio Polinomios

Ejercicios_Resueltospolinomios

Encuentra un polinomio A(x) que verifique la siguiente igualdad:
\frac{A(x)}{x+1} = \frac {x^2+4x-5}{x^2-1}

SOLUCIÓN

\frac{A(x)}{x+1} = \frac {x^2+4x-5}{x^2-1}

A(x) \cdot (x^2-1) =(x+1) \cdot (x^2+4x-5)

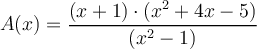
A(x) =\frac{(x+1) \cdot (x^2+4x-5)}{(x^2-1)}

Factorizamos

A(x) =\frac{\cancel{(x+1)} \cdot \cancel{(x-1)} \cdot (x+5)}{\cancel{(x+1)}\cancel{(x-1)}}=x+5

Comentar el ejercicio

  • 1º BACH. CIENCIAS
    • Derivadas
    • Números Reales
    • Sucesiones
    • Logaritmos
    • Polinomios y Fracciones Algebraicas
    • Exámenes
    • Ecuaciones
    • Números Complejos
    • Sistemas de Ecuaciones
    • Trigonometría
    • Inecuaciones
    • Ecuaciones Exponenciales y Logarítmicas
    • Funciones (I)
    • Geometría en el Plano
    • Cónicas
    • Funciones II
    • Integrales
    • Probabilidad
  • Mapa del sitio
  • Conectarse
  • 2001-2026 — Matemáticas IES — Contactar con Dani