Polinomios y Fracciones Algebraicas
(43) ejercicios de Polinomios y Fracciones Algebraicas
-
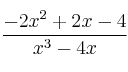
Descomponer en suma de fracciones simples la fracción algebraica:

-
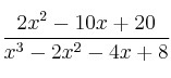
Descomponer en suma de fracciones simples la fracción algebraica:

-
Descomponer en suma de fracciones simples la fracción algebraica:

-
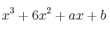
Hallar
y
para que el polinomio
sea divisible por
.
-
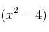
Hallar
y
para que el polinomio
sea divisible por
.