Polinomios y Fracciones Algebraicas
(43) ejercicios de Polinomios y Fracciones Algebraicas
-
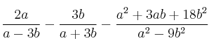
Opera y simplifica:

-
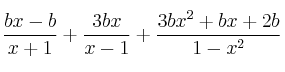
Opera y simplifica:

-
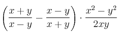
Calcula y simplifica:

-
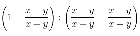
Calcula y simplifica:

-
Halla el valor de
para que el polinomio
sea divisible por 