Polinomios y Fracciones Algebraicas
(43) ejercicios de Polinomios y Fracciones Algebraicas
-
Reduce a común denominador los siguientes grupos de fracciones algebraicas:
–
,
,
–
,
,
–
,
, 
-
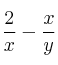
Realiza las siguientes operaciones con fracciones algebraicas:
–
–
-
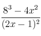
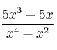
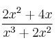
Simplifica las siguientes fracciones algebraicas:
–
–
–