• Apuntes
  • Vídeos
  • Ejercicios
    • Resueltos
    • Por Curso
      • 1º ESO
      • 2º ESO
      • 3º ESO
      • 4º ESO
      • 1º BACH. CIENCIAS
      • 1º BACH. SOCIALES
      • 2º BACH. CIENCIAS
      • 2º BACH. SOCIALES
  • Más recursos
    • Actividades Interactivas
    • Selectividad (PAU)
    • Acceso Mayores 25
    • LaTeX
Inicio ›EJERCICIOS de Matemáticas ›1º BACH. CIENCIAS ›Polinomios y Fracciones Algebraicas ›fracciones algebraicas

fracciones algebraicas

Ejercicios_Resueltosfracciones_algebraicaspolinomios

Opera y simplifica: \left( x - \frac{4}{x} \right) : \left( 1 - \frac{2}{x} \right)

SOLUCIÓN

\left( x - \frac{4}{x} \right) : \left( 1 - \frac{2}{x} \right)=


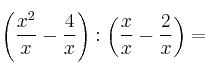
\left( \frac{x}{1} - \frac{4}{x} \right) : \left( \frac{1}{1} - \frac{2}{x} \right)=


\left( \frac{x^2}{x} - \frac{4}{x} \right) : \left( \frac{x}{x} - \frac{2}{x} \right)=


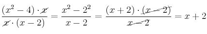
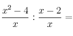
 \frac{x^2-4}{x}  :  \frac{x-2}{x}  =


 \frac{(x^2-4) \cdot \cancel{x}}{\cancel{x} \cdot (x-2)}  = \frac{x^2-2^2}{x-2}  =\frac{(x+2) \cdot \cancel{(x-2)}}{\cancel{x-2}} = x+2

Comentar el ejercicio

  • 1º BACH. CIENCIAS
    • Derivadas
    • Números Reales
    • Sucesiones
    • Logaritmos
    • Polinomios y Fracciones Algebraicas
    • Exámenes
    • Ecuaciones
    • Números Complejos
    • Sistemas de Ecuaciones
    • Trigonometría
    • Inecuaciones
    • Ecuaciones Exponenciales y Logarítmicas
    • Funciones (I)
    • Geometría en el Plano
    • Cónicas
    • Funciones II
    • Integrales
    • Probabilidad
  • Mapa del sitio
  • Conectarse
  • 2001-2026 — Matemáticas IES — Contactar con Dani