Funciones 4º ESO
(46) ejercicios de Funciones 4º ESO
-
Representa gráficamente las siguientes funciones:
– a)
– b)
-
Calcula los puntos de corte con los ejes de coordenadas de las siguientes funciones:
– a)
– b)
-
Indica si existe simetría en las siguientes funciones:
–
–
–
–
-
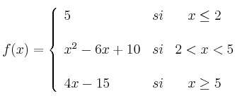
Representa gráficamente la función:

-
Representa gráficamente la función:

