Funciones 4º ESO
(46) ejercicios de Funciones 4º ESO
-
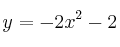
Representa gráficamente la función

-
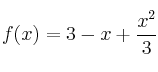
Representa gráficamente la siguiente función calculando previamente el vértice y los puntos de corte con los ejes de coordenadas:

-
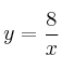
Representa gráficamente la función:

-
Lanzamos verticalmente un cohete. La altura
(en metros) a la que se encuentra en cada instante
(en segundos) viene determinada por la función:
. Se pide:– a) Dibuja la gráfica de la función
– b) Indica cuál es su dominio
– c) ¿Cuánto tiempo pasará para que alcance su altura máxima? ¿Cuál será esa altura máxima?
– d) ¿En qué intervalo de tiempo estará a una altura mayor de 4.500 metros? -
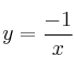
Dibuja la gráfica de las siguientes funciones:
– a)
– B)
