Sistemas de ecuaciones
(19) ejercicios de Sistemas de ecuaciones
-
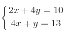
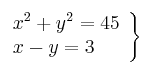
Resuelve el sistema de ecuaciones:

-
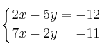
Resuelve el sistema de ecuaciones:

-
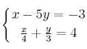
Resuelve el sistema de ecuaciones:

-
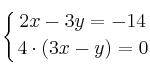
Resuelve el sistema de ecuaciones:

-
Resuelve el sistema de ecuaciones:

