sistemas lineal 2x2
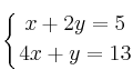
Resuelve el sistema de ecuaciones:

SOLUCIÓN
Resolvemos el sistema por sustitución, pero antes de empezar observamos que la primera ecuación se puede simplificar (son todos pares) dividiendo por 2
Despejamos "x" en la primera ecuación y sustituimos en la segunda

Ahora operamos donde teníamos despejada "x"

Mensajes
19 de junio de 2024, 12:11, por Katherine
El término independiente de la segunda ecuación es 3,no13