sistemas lineal 2x2
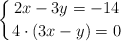
Resuelve el sistema de ecuaciones:

SOLUCIÓN
![]()
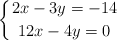
Quitamos paréntesis y ordenamos:
![]()
Aplicaremos el método de reducción. Multiplicamos la primera ecuación por (-6) y sumamos ambas ecuaciones (así se cancela
)

![]()
Ahora podemos calcular
en cualquiera de las ecuaciones
![]()