Sistemas de ecuaciones

(19) ejercicios de Sistemas de ecuaciones

  • 👁 Ver (#1591)

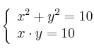
    Resuelve el sistema de ecuaciones:

     \left\{
\begin{array}{ll}
x^2 + y^2 = 10 \\
x \cdot y = 10
\end{array}
\right.

  • 👁 Ver (#2354)

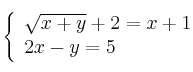
    Resuelve el siguiente sistema de ecuaciones:

     \left\{
\begin{array}{ll}
\sqrt{x+y} + 2 = x + 1 \\
2x - y = 5
\end{array}
\right.

  • 👁 Ver (#3297) solución en PIZARRA  Ver Solución

    Un cajero tiene 188 billetes que suponen un importe total de 7360 euros. Sabiendo que sólo dispone de dos tipos de billetes (de 50 euros y de 20 euros), plantea y resuelve un sistema de ecuaciones que te permita averiguar cuántos billetes tiene de cada tipo

  • 👁 Ver (#4527)  Ver Solución

    Un grupo de estudiantes organiza una excursión para lo cual alquilan un autocar cuyo precio es de 540 euros. Al salir, no se presentan 6 estudiantes y esto hace que cada uno de los otros pague 3 euros más. Calcula el número de estudiantes que fueron a la excursión y que cantidad pagó cada uno.