Problema resuelto con sistema por sustitución
Un grupo de estudiantes organiza una excursión para lo cual alquilan un autocar cuyo precio es de 540 euros. Al salir, no se presentan 6 estudiantes y esto hace que cada uno de los otros pague 3 euros más. Calcula el número de estudiantes que fueron a la excursión y que cantidad pagó cada uno.
SOLUCIÓN
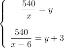
Número de estudiantes ![]()
Cada estudiante paga
euros
![]()
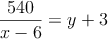
Al salir cambia la situación:
Estudiantes:
Precio por estudiante:
Ahora la ecuación es
![]()
Con ambas ecuaciones formamos un sistema

Resolvemos por sustitución. Como
está despejada en la primera ecuación, sustituimos por su valor en la segunda ecuación
![]()
Hacemos la suma de la derecha
![]()
Ahora hacemos productos cruzados
![]()
Multiplicamos los polinomios a la derecha del signo igual
![]()
![]()
![]()
Resolvemos la ecuación de segundo grado y obtenemos como soluciones
y ![]()
Descartamos la solución negativa puesto que
representa el número de estudiantes.
Por tanto ![]()
En principio eran 36 estudiantes y tocaban a 15 euros cada uno.
Al final fueron 30 estudiantes y pagaron 18 euros cada uno