sistemas lineal 2x2 denominadores
Resuelve el sistema de ecuaciones:

SOLUCIÓN
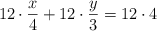
Vemos que una de las ecuaciones tiene denominadores, por lo que debemos hacer mínimo común múltiplo para quitar los denominadores
![]()
![]()
![]()
![]()
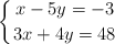
El sistema quedaría
![]()
Vamos a resolver por sustitución, despejando
en la primera ecuación y sustituyendo en la segunda
![]()
![]()
![]()
![]()
![]()