Funciones 4º ESO
(46) ejercicios de Funciones 4º ESO
-
Halla la ecuación de la recta que aparece representada en la siguiente imagen
-
Halla la ecuación de las rectas que aparecen representadas en la siguiente imagen
-
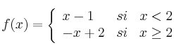
Representa gráficamente la función:

-
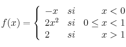
Representa gráficamente la función:

-
Representa gráficamente la función:
