Funciones 4º ESO
(46) ejercicios de Funciones 4º ESO
-
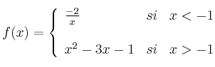
Representa gráficamente la función:

-
Halla la ecuación de la recta que pasa por los puntos:
– a)
y
– b)
y 
-
Halla la pendiente de las siguientes rectas e indica cuáles de ellas son paralelas:
– a)
– b)
– c)
– d)
– e)
– f)
-
Calcula el dominio de definición de las siguientes funciones:
– a)
– b)
– c)
– d)![i(x) = \sqrt[3]{2x-1} i(x) = \sqrt[3]{2x-1}](local/cache-TeX/32327e3b0ea0fef308d317f663711688.png)
-
Calcula el dominio de definición de las siguientes funciones:
– a)
– b)
