Funciones simetrías
Indica si existe simetría en las siguientes funciones:
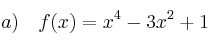
–
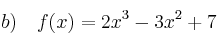
–
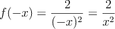
–
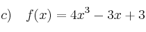
– 
SOLUCIÓN
– ![]()
![]()
Como
es una función PAR (simétrica respecto al eje OY)
– ![]()
![]()
No tiene simetría
– ![]()
![]()
No tiene simetría
– 
![]()
Como
es una función PAR (simétrica respecto al eje OY)