funciones corte ejes coordenadas
Calcula los puntos de corte con los ejes de coordenadas de las siguientes funciones:
– a)
– b) ![]()
SOLUCIÓN
– a) 

Si 
Punto de corte: ![]()
Si 
Punto de corte: ![]()
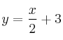
– b) ![]()
![]()
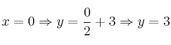
Si ![]()
Punto de corte: ![]()
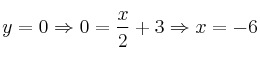
Si 
Punto de corte: 
Calcula los puntos de corte con los ejes de coordenadas de las siguientes funciones:
– a)
– b) ![]()
– a) 

Si 
Punto de corte: ![]()
Si 
Punto de corte: ![]()
– b) ![]()
![]()
Si ![]()
Punto de corte: ![]()
Si 
Punto de corte: 