Funciones gráfica a trozos
Representa gráficamente la función:

SOLUCIÓN
Se trata de una función a trozos.
– El primer trozo está definido para
y es una recta (polinómica de primer grado).
– El segundo trozo está definido para
y es una parábola (polinómica de segundo grado).
El primer trozo hay que dibujarlo en la zona azul y el segundo trozo en la verde
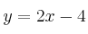
El primer trozo es la recta
.
Para dibujarlo necesitamos dos puntos (recordando que
).
Podríamos tomar los puntos x=-2 y x=0 por ejemplo, pero para obtener una mejor gráfica es recomendable tomar el punto (x=1) donde acaba su dominio y lo dibujaremos como "punto hueco" porque ![]()

Ya podemos dibujar el primer trozo
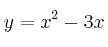
Para el segundo trozo (parábola
) necesitamos calcular vértice, orientación, corte con los ejes y otros puntos.
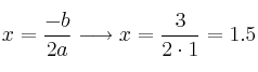
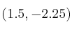
La primera coordenada del vértice se calcula con la fórmula:

Ahora calculamos la segunda coordenada:
![]()
Por tanto el vértice es ![]()
El signo (+) de x² nos indica que es una parábola convexa (vértice abajo y ramas hacia arriba).
Veamos el corte con los ejes.
Al eje vertical no lo cortará porque está definida en
(recuerda que el eje vertical está en x=0).
Para el corte con el eje de abcisas (eje horizontal) resolvemos
obteniendo como soluciones
y
.
Por tanto los puntos de corte son
y ![]()
El punto
no tenemos que dibujarlo porque está fuera del dominio de la parábola (
), pero si que dibujaremos el punto ![]()
Ahora calculamos otros puntos:

Ya podemos dibujar toda la función