📝 Ejercicios de ecuaciones con denominadores
-
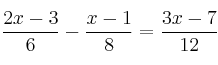
Resuelve la ecuación

-
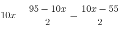
Resuelve la ecuación:

-
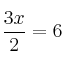
Resuelve la ecuación:

-
Resuelve la ecuación:

-
Resuelve la ecuación:

-
Resuelve la ecuación:

-
Resuelve la ecuación:

-
Resuelve la ecuación:

-
Resuelve la ecuación:

-
Resuelve la ecuación:

-
Resuelve la ecuación:

-
Resuelve la ecuación:

-
Resuelve la ecuación:

-
Resuelve la ecuación:

-
Resuelve la ecuación:

-
Resuelve la ecuación:

-
Resuelve la ecuación

-
Resuelve la ecuación:

-
Resolver la ecuación:

-
Resuelve la ecuación:
