• Apuntes
  • Vídeos
  • Ejercicios
    • Resueltos
    • Por Curso
      • 1º ESO
      • 2º ESO
      • 3º ESO
      • 4º ESO
      • 1º BACH. CIENCIAS
      • 1º BACH. SOCIALES
      • 2º BACH. CIENCIAS
      • 2º BACH. SOCIALES
  • Más recursos
    • Actividades Interactivas
    • Selectividad (PAU)
    • Acceso Mayores 25
    • LaTeX
Inicio ›EJERCICIOS de Matemáticas ›2º ESO ›Ecuaciones ›Ecuaciones de primer grado con denominadores 2969

Ecuaciones de primer grado con denominadores 2969

ecuacionesecuaciones con denominadoresecuaciones de primer gradoEjercicios_Resueltos

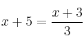
Resuelve la ecuación:

x+5 = \frac{x+3}{3}


SOLUCIÓN

x+5 = \frac{x+3}{3}


Podemos quitar denominadores pasando el "3" que divide al otro lado multiplicando:

3 \cdot (x+5) =x+3


Quitamos paréntesis

3x + 15 = x+3


3x -x = 3 - 15


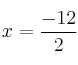
2x = -12


x = \frac{-12}{2}


x = -6

Comentar el ejercicio

  • 2º ESO
    • Fracciones
    • Potencias
    • Radicales
    • Números Enteros
    • Proporcionalidad
    • Geometría
    • Ecuaciones
    • Polinomios
    • Gráficas y Funciones 2º ESO
  • Mapa del sitio
  • Conectarse
  • 2001-2026 — Matemáticas IES — Contactar con Dani