• Apuntes
  • Vídeos
  • Ejercicios
    • Resueltos
    • Por Curso
      • 1º ESO
      • 2º ESO
      • 3º ESO
      • 4º ESO
      • 1º BACH. CIENCIAS
      • 1º BACH. SOCIALES
      • 2º BACH. CIENCIAS
      • 2º BACH. SOCIALES
  • Más recursos
    • Actividades Interactivas
    • Selectividad (PAU)
    • Acceso Mayores 25
    • LaTeX
Inicio ›EJERCICIOS de Matemáticas ›2º ESO ›Ecuaciones ›Ecuaciones de primer grado con denominadores 2980

Ecuaciones de primer grado con denominadores 2980

ecuacionesecuaciones con denominadoresecuaciones de primer gradoEjercicios_Resueltos

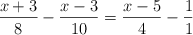
Resuelve la ecuación:

\frac{x+3}{8} - \frac{x-3}{10} = \frac{x-5}{4} - 1


SOLUCIÓN

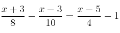
\frac{x+3}{8} - \frac{x-3}{10} = \frac{x-5}{4} - 1

\frac{x+3}{8} - \frac{x-3}{10} = \frac{x-5}{4} - \frac{1}{1}

m.c.m.(8,10,4)=40

\frac{5 \cdot (x+3)}{40} - \frac{4 \cdot (x-3)}{40} = \frac{10 \cdot (x-5)}{40} - \frac{40 \cdot 1}{40}

5 \cdot (x+3) - 4 \cdot (x-3) = 10 \cdot (x-5) - 40 \cdot 1

5x+15 - 4x +12  = 10x - 50  - 40

5x - 4x  -10x=  - 50  - 40 -15 -12

 -9x=  - 117 \longrightarrow x = \frac{-117}{-9} = \fbox{13}

Comentar el ejercicio

  • 2º ESO
    • Fracciones
    • Potencias
    • Radicales
    • Números Enteros
    • Proporcionalidad
    • Geometría
    • Ecuaciones
    • Polinomios
    • Gráficas y Funciones 2º ESO
  • Mapa del sitio
  • Conectarse
  • 2001-2026 — Matemáticas IES — Contactar con Dani