• Apuntes
  • Vídeos
  • Ejercicios
    • Resueltos
    • Por Curso
      • 1º ESO
      • 2º ESO
      • 3º ESO
      • 4º ESO
      • 1º BACH. CIENCIAS
      • 1º BACH. SOCIALES
      • 2º BACH. CIENCIAS
      • 2º BACH. SOCIALES
  • Más recursos
    • Actividades Interactivas
    • Selectividad (PAU)
    • Acceso Mayores 25
    • LaTeX
Inicio ›EJERCICIOS de Matemáticas ›2º ESO ›Ecuaciones ›Ecuaciones de primer grado con denominadores 2984

Ecuaciones de primer grado con denominadores 2984

ecuacionesecuaciones con denominadoresecuaciones de primer gradoEjercicios_Resueltos

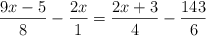
Resuelve la ecuación:

\frac{9x-5}{8} - 2x = \frac{2x+3}{4} -  \frac{143}{6}


SOLUCIÓN

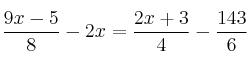
\frac{9x-5}{8} - \frac{2x}{1} = \frac{2x+3}{4} -  \frac{143}{6}

m.c.m.(8,4,6) = 24

\frac{3 \cdot (9x-5)}{24} - \frac{24 \cdot 2x}{24} = \frac{6 \cdot(2x+3)}{24} -  \frac{4 \cdot 143}{24}

3 \cdot (9x-5) - 24 \cdot 2x = 6 \cdot(2x+3) -  4 \cdot 143

27x-15 - 48x = 12x + 18 -   572

27x - 48x - 12x = 18 -   572 +15

-21x = -539 \longrightarrow x = \frac{-539}{-33} = \frac{49}{3}


Comentar el ejercicio

  • 2º ESO
    • Fracciones
    • Potencias
    • Radicales
    • Números Enteros
    • Proporcionalidad
    • Geometría
    • Ecuaciones
    • Polinomios
    • Gráficas y Funciones 2º ESO
  • Mapa del sitio
  • Conectarse
  • 2001-2026 — Matemáticas IES — Contactar con Dani