• Apuntes
  • Vídeos
  • Ejercicios
    • Resueltos
    • Por Curso
      • 1º ESO
      • 2º ESO
      • 3º ESO
      • 4º ESO
      • 1º BACH. CIENCIAS
      • 1º BACH. SOCIALES
      • 2º BACH. CIENCIAS
      • 2º BACH. SOCIALES
  • Más recursos
    • Actividades Interactivas
    • Selectividad (PAU)
    • Acceso Mayores 25
    • LaTeX
Inicio ›EJERCICIOS de Matemáticas ›2º ESO ›Ecuaciones ›Ecuaciones de primer grado con denominadores 2981

Ecuaciones de primer grado con denominadores 2981

ecuacionesecuaciones con denominadoresecuaciones de primer gradoEjercicios_Resueltos

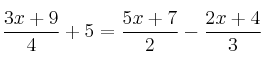
Resuelve la ecuación:

\frac{3x+9}{4}+5 = \frac{5x+7}{2} - \frac{2x+4}{3}


SOLUCIÓN

\frac{3x+9}{4}+5 = \frac{5x+7}{2} - \frac{2x+4}{3}

m.c.m.(4,2,3)=12

\frac{3 \cdot (3x+9)}{12}+\frac{12 cdot 5}{12} = \frac{6 \cdot (5x+7)}{12} - \frac{4 \cdot (2x+4)}{12}

3 \cdot (3x+9)+12 cdot 5 = 6 \cdot (5x+7) - 4 \cdot (2x+4)

9x+27+60 = 30x + 42 - 8x-16

9x -30x + 8x =  42 -16 -27 -60

-13x =   -61 \longrightarrow \color{red}{x = \frac{61}{13}}


Comentar el ejercicio

  • 2º ESO
    • Fracciones
    • Potencias
    • Radicales
    • Números Enteros
    • Proporcionalidad
    • Geometría
    • Ecuaciones
    • Polinomios
    • Gráficas y Funciones 2º ESO
  • Mapa del sitio
  • Conectarse
  • 2001-2026 — Matemáticas IES — Contactar con Dani