Ecuaciones
Ecuaciones - 1º Bachillerato de Ciencias
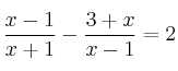
La única solución de la ecuación
es:
– (a)
– (b)
– (c)
– (d) 0
– (e) Ninguna de las anteriores
Resuelve la ecuación 
Resuelve la ecuación:

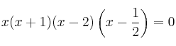
Resuelve la ecuación
![]()
Resuelve las ecuaciones:
– a)
– b) ![]()
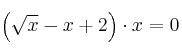
Resuelve la ecuación ![]()
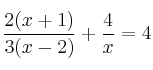
Resuelve la ecuación:

Resuelve la ecuación:
![]()
Resuelve la ecuación ![\sqrt[3]{x} + \sqrt[3]{8x} = 3a \sqrt[3]{x} + \sqrt[3]{8x} = 3a](local/cache-TeX/c52888bdff098c7e8aec92433686dc1c.png)
Resuelve la ecuación:

- 1
- 2