Ecuaciones Irracionales
Resuelve la ecuación:

SOLUCIÓN

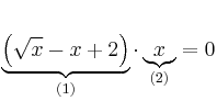
Lo primero que vemos es un producto de dos factores igualado a cero

Para que el resultado sea cero hay dos posibilidades: que el primer factor sera cero o que el segundo factor sea cero
– (1)
– (2)
– De (2) ya tenemos una solución de la ecuación:
– De (1) tenemos una ecuación irracional, que resolvemos a continuación
![]()
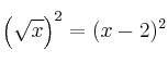
Aislamos la raíz y elevamos al cuadrado
![]()

– En el primer miembro se simplifica cuadrado con raíz cuadrada
– En el 2º miembro se aplica productos notables

![]()
![]()
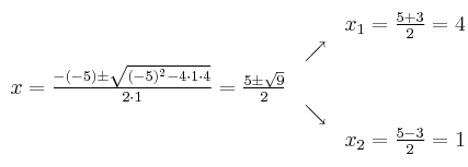
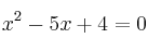
Aplicamos la fórmula de la ecuación de 2º grado

Recordemos que en las ecuaciones irracionales hay que comprobar las soluciones:
– Si
CIERTO
– Si
FALSO
Por tanto, las soluciones de la ecuación original son
y 