Ecuaciones Irracionales
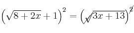
Resuelve la ecuación:
![]()
SOLUCIÓN
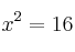
![]()
Elevamos al cuadrado para eliminar una de las raaices

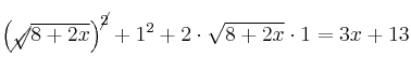
En el primer miembro aplicamos las fórmulas de los productos notables

![]()
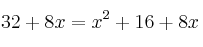
Ahora aislamos la raíz que queda y elevamos al cuadrado
![]()
![]()
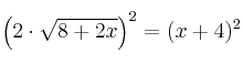
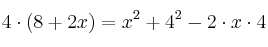
Ahora elevamos al cuadrado ambos miembros para eliminar la raíz.
El 2 que multiplica a la raíz no ese necesario pasarlo al otro miembro


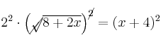
![]()
![]()
![]()
![]()

Recordemos que en las ecuaciones irracionales hay que comprobar las soluciones, pues al elevar al cuadrado se pueden introducir soluciones falsas.
Para comprobarlas, sustituimos las soluciones en la ecuación original
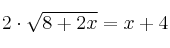
Si ![]()

CIERTO
Si ![]()
![]()
CIERTO
Las dos soluciones son CORRECTAS