• Apuntes
  • Vídeos
  • Ejercicios
    • Resueltos
    • Por Curso
      • 1º ESO
      • 2º ESO
      • 3º ESO
      • 4º ESO
      • 1º BACH. CIENCIAS
      • 1º BACH. SOCIALES
      • 2º BACH. CIENCIAS
      • 2º BACH. SOCIALES
  • Más recursos
    • Actividades Interactivas
    • Selectividad (PAU)
    • Acceso Mayores 25
    • LaTeX
Inicio ›EJERCICIOS de Matemáticas ›1º BACH. CIENCIAS ›Ecuaciones ›Ecuaciones Irracionales

Ecuaciones Irracionales

💬 2

  ecuacionesecuaciones_irracionalesEjercicios_Resueltos

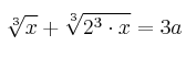
Resuelve la ecuación \sqrt[3]{x} + \sqrt[3]{8x} = 3a

SOLUCIÓN

\sqrt[3]{x} + \sqrt[3]{8x} = 3a


Seguimos los pasos para resolver una ecuación irracional
Al tener dos raíces, lo primero es comprobar si son semejantes.

\sqrt[3]{x} + \sqrt[3]{2^3 \cdot x} = 3a


\sqrt[3]{x} + 2 \cdot \sqrt[3]{x} = 3a


3 \cdot \sqrt[3]{x} = 3a


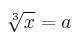
 \sqrt[3]{x} = a


 x =  a^3

Comentar el ejercicio

Mensajes

  • 12 de diciembre de 2020, 22:08, por jose carlos

    x=a^3

    esta mal....

    • 13 de diciembre de 2020, 19:21, por dani

      Gracias por avisar.
      Ya está corregida la errata.

  • 1º BACH. CIENCIAS
    • Derivadas
    • Números Reales
    • Sucesiones
    • Logaritmos
    • Polinomios y Fracciones Algebraicas
    • Exámenes
    • Ecuaciones
    • Números Complejos
    • Sistemas de Ecuaciones
    • Trigonometría
    • Inecuaciones
    • Ecuaciones Exponenciales y Logarítmicas
    • Funciones (I)
    • Geometría en el Plano
    • Cónicas
    • Funciones II
    • Integrales
    • Probabilidad
  • Mapa del sitio
  • Conectarse
  • 2001-2026 — Matemáticas IES — Contactar con Dani