📝 Ejercicios de ecuación_recta
-
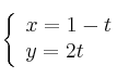
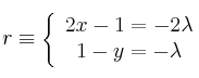
Estudia la posición relativa de los siguientes pares de rectas y halla el punto de corte (cuando exista)
a)

b)

-
Dados los puntos
y
, se pide:– a) Ecuaciones paramétricas, continua y general de la recta
que pasa por
y
– b) Ángulo que forma la recta anterior con el eje de abcisas
– c) Ecuación de la mediatriz del segmento determinado por
y
– d) Distancia de dicha mediatriz al origen de coordenadas
-
Un tanque contiene 50 litros de agua. A las 8:00 a.m. se abre una llave para llenarlo
de tal forma que a la 2:00 p.m. hay en el tanque 1.490 litros de agua. Si se considera
que la cantidad de agua que entra al tanque es constante y que la capacidad del
tanque es de 2.690 litros,
– a) Representar gráficamente, en el plano cartesiano, la situación
– b) ¿Cuántos litros de agua entran al tanque cada hora?
– c) Encontrar el modelo matemático que represente la situación
– d) Basándose en la respuesta del apartado c, ¿a qué hora se llenará el depósito? -
Halla la ecuación general de la recta de pendiente 3 y ordenada en el origen -5.
-
Halla la ecuación segmentaria de la recta

-
Halla la ecuación de una recta paralela a la recta
y cuya ordenada en el origen es -2
-
Halla la ecuación paramétrica de una recta perpendicular a la recta
por el punto 
-
Halla un vector director y la pendiente de las rectas:
–
–
–
-
Halla la ecuación paramétrica de la recta que pasa por el punto
y es paralela a la recta

-
Sean L1 y L2 las rectas de ecuación


donde

a) Determinar el valor de c para el cual la recta L1 ea perpendicular a la recta L2. Escribir la ecuación de la recta L1
b) Hallar analíticamente el punto de intersección de las rectas L1 y L2 y verificar gráficamente el resultado hallado.
c) Encontrar la ecuación de la recta L que es paralela a la recta L1 y pasa por el punto P= ( -1/3 , 1/3)
-
Dados los puntos
y
, halla la ecuación paramétrica de la recta perpendicular al segmento
en su punto medio.
-
Halla la posición relativa de las rectas:


-
Halla la posición relativa de las rectas:


-
Hallar la ecuación de la(s) recta(s) que tiene(n) pendiente -2/3 y forma(n) con los ejes coordenados un triangulo de área 24
-
Halla la ecuación explícita de una recta que pasa por el punto
y es paralela a la recta 
-
Demuestra que
es un vector director de la recta
, siendo
y 
- 1
- 2