Geometría. Llenado de depósito

ecuación_rectaEjercicios_Resueltosgeometríaproblemas_geometría

Un tanque contiene 50 litros de agua. A las 8:00 a.m. se abre una llave para llenarlo
de tal forma que a la 2:00 p.m. hay en el tanque 1.490 litros de agua. Si se considera
que la cantidad de agua que entra al tanque es constante y que la capacidad del
tanque es de 2.690 litros,
 a) Representar gráficamente, en el plano cartesiano, la situación
 b) ¿Cuántos litros de agua entran al tanque cada hora?
 c) Encontrar el modelo matemático que represente la situación
 d) Basándose en la respuesta del apartado c, ¿a qué hora se llenará el depósito?

SOLUCIÓN

a) Representamos en el plano los datos.

X \longrightarrow HORAS
Y \longrightarrow LITROS

b) De las 8:00h a las 14:00h han entrado 1490-50=1440 \:l

En 6 horas entran 1440 litros, entonces
\frac{1440 \: l}{6 \: h} =\textcolor{blue}{240\: l/h} cada hora entran 240 litros

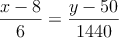
c) Buscamos aquí la ecuación de una recta que pasa por los puntos A(8,50) y B(14,1490)

Hay muchas formas de encontrar la ecuación de una recta que pasa por dos puntos.
Encontraré la ecuación explícita a través de la ecuación continua

Necesitamos punto y vector
Punto: A(8,50)
Vector: \vec{AB}=(14-8,1490-50)=(6,1440)

Ecuación continua:

\frac{x-8}{6} = \frac{y-50}{1440}



Multiplicamos en cruz y operamos hasta expresar la recta en ecuación explícita

(x-8) \cdot 1440 = 6 \cdot (y-50)

Operando y ordenando quedaría:

y=240x-1870

d) Nos preguntan a qué hora se llenará el depósito.
Usamos la ecuación anterior (recordemos que x son horas e y son litros)

2690=240x-1870


2690+1870=240x

4560=240x \longrightarrow x = \frac{4560}{240} = 19

Se llenará a las 19:00h (como puede verse en la gráfica)

Comentar el ejercicio