Hallar vector director y pendiente de varias rectas
Halla un vector director y la pendiente de las rectas:
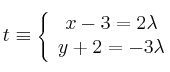
–
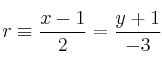
–
– 
SOLUCIÓN
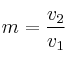
Para obtener la pendiente de una recta, podemos hacerlo desde la ecuación explícita o a partir del vector director de la recta.

A partir del vector director
de una recta, la pendiente sería:

– 
![]()
– ![]()
![]()
– ![]()
![]()