Ejercicio 2658 Rectas Posiciones Relativas
Estudia la posición relativa de los siguientes pares de rectas y halla el punto de corte (cuando exista)
a) 
b) 
SOLUCIÓN
En primer lugar debemos ordenar las ecuaciones
a) ![]()
COINCIDENTES (son la misma recta)
b) ![]()
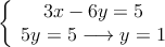
SECANTES
Para calcular el punto de corte resolvemos el sistema
![]()
![]()
Las rectas se cortan en el punto ![]()