Perpendicular por el punto medio de segmento
Dados los puntos
y
, halla la ecuación paramétrica de la recta perpendicular al segmento
en su punto medio.
SOLUCIÓN
La recta que nos piden tiene como vector director cualquier vector perpendicular a
, por ejemplo
.
[Para obtener un vector perpendicular a uno dado, basta con cambiar de orden las componentes y a una de ellas cambiarle el signo)
Como punto, debemos tomar el punto medio de
, que será: 
Punto medio de un segmento
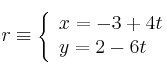
Por tanto, las ecuaciones paramétricas de la recta
que nos piden son:
