Ecuaciones paramétricas de la recta
Dados un punto
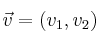
y un vector director
, podemos construir la ecuación vectorial de la recta:
![]()
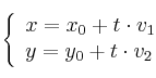
A partir de la ecuación vectorial, si operamos:
Igualando componente a componente obtenemos las ecuaciones paramétricas de la recta:
