Ecuación punto-pendiente de la recta
Si conocemos la pendiente
de una recta y un punto
por donde pase, podemos crear la ecuación punto-pendiente de dicha recta:

También podemos obtener la ecuación punto-pendiente de una recta conociendo un punto por el que pase
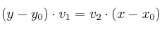
Primero ponemos su ecuación continua

Hacemos productos cruzados
![]()

Siendo
tenemos: