Polinomios
(127) ejercicios de Polinomios
-
Factoriza los siguientes polinomios:
–
–
-
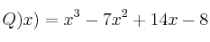
Sean los polinomios:


Calcula:– a)
– b)
– c)
-
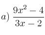
Simplifica las siguientes expresiones factorizando previamente los polinomios del numerador y del denominador:
–
–
-
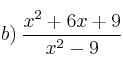
Simplifica las siguientes expresiones factorizando previamente los polinomios del numerador y del denominador:
–
–
-
Factoriza los siguientes polinomios:
–
–