Polinomios

(127) ejercicios de Polinomios

  • 👁 Ver (#551)

    Calcula el valor de k para que el polinomio P(x) = 2x^4 + kx^3 - 7x +6 sea divisible por (x - 2)

  • 👁 Ver (#552)

    Calcula el valor de a para que el polinomio P(x) = ax^3 - 3x^2 +5x +9a sea divisible por (x + 2)

  • 👁 Ver (#617)

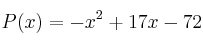
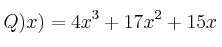
    Factoriza los siguientes polinomios:
     P(x) = -x^2 + 17x - 72
     Q)x) = 4x^3 + 17x^2 + 15x

  • 👁 Ver (#618)

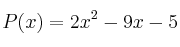
    Factoriza los siguientes polinomios:
     P(x) = 2x^2 - 9x -5
     Q)x) = x^3 + 3x^2 + 4x +12

  • 👁 Ver (#619)

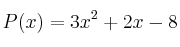
    Factoriza los siguientes polinomios:
     P(x) = 3x^2 + 2x - 8
     Q)x) = x^4 - 4x^3 + 4x^2 - 4x + 3