Polinomios
(127) ejercicios de Polinomios
-
Factoriza los siguientes polinomios:
–
–
-
Factoriza los siguientes polinomios:
–
–
-
Factoriza los siguientes polinomios:
–
–
-
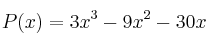
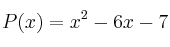
Factoriza los siguientes polinomios:
–
–
-
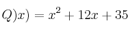
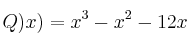
Calcula el valor de
para que el polinomio
sea divisible por 