polinomios factorizar
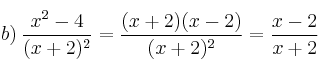
Simplifica las siguientes expresiones factorizando previamente los polinomios del numerador y del denominador:
–
– 
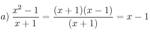
Simplifica las siguientes expresiones factorizando previamente los polinomios del numerador y del denominador:
–
– 
Mensajes
29 de noviembre de 2006, 13:42, por dani
–

–