Límite con parámetros
Calcula los valores reales de a y b para que se cumpla la siguiente igualdad:

SOLUCIÓN
Si sustituimos
por
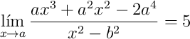
obtenemos:
![]()
Eso no es posible salvo que el límite de una indeterminación del tipo 0/0 por lo que
.
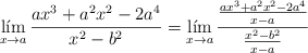
La indeterminación se resuelve dividiendo numerador y denominador por ![]()
![]()
Para la división del numerador podemos aplicar RuFfini
![\polyhornerscheme[x=a,resultstyle=\color{red},resultbottomrule,resultleftrule,resultrightrule]{ax^3+a^2x^2-2a^4} \polyhornerscheme[x=a,resultstyle=\color{red},resultbottomrule,resultleftrule,resultrightrule]{ax^3+a^2x^2-2a^4}](local/cache-TeX/0c31ba1ef33dee00e7d23c2ae0ad5767.png)
El cociente de la división es ![]()
Para la división del denominador aplicamos los productos notables
![]()
Entonces el límite nos quedaría:
![]()
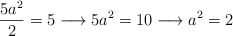
Como tiene que valer 5 tenemos que:
![]()
Por tanto
y ![]()