Cálculo de límites de funciones racionales (III)
Cálculo de límites de funciones racionales cuando x tiende a un número
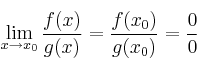
Indeterminación 
Cuando al calcular el límite de un cociente de polinomios obtenemos un resultado del tipo
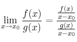
, estamos ante una Indeterminación que se resuelve dividiendo numerador y denominador por ![]()

Resolvemos la INDETERMINACIÓN haciendo

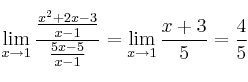
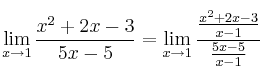
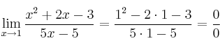
Veamos un ejemplo:
Dividimos numerador y denominador por (x-1)
Si hacemos las divisiones del numerador y denominador (aplicando Ruffini si es necesario) obtenemos:
