L’Hôpital (III) : indeterminación infinito elevado a cero

funcioneslímitesRegla de LHôpital

Consideremos el siguiente límite

\lim_{x \rightarrow 0^+} \left( \frac{1}{x} \right)^{tg(x)} = (+\infty)^0

Función 1/x
LA función 1/x tiendo a +infinito cuando x se acerca a 0 por la derecha
matematicasies.com

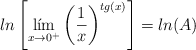
Llamamos "A" al límite y tomamos logaritmos

\lim_{x \rightarrow 0^+} \left( \frac{1}{x} \right)^{tg(x)} = A

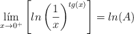
ln \left[ \lim_{x \rightarrow 0^+} \left( \frac{1}{x} \right)^{tg(x)} \right] = ln(A)

\lim_{x \rightarrow 0^+} \left[ ln \left( \frac{1}{x} \right)^{tg(x)} \right] = ln(A)

\lim_{x \rightarrow 0^+} \left[ (tg(x)) \cdot ln \left( \frac{1}{x} \right)\right] = ln(A)

Nos centramos en la expresión de la izquierda del signo igual

\lim_{x \rightarrow 0^+} \left[ (tg(x)) \cdot ln \left( \frac{1}{x} \right)\right]  = 0 \cdot (+\infty)

Función ln(1/x)
función logaritmo neperiano de 1/x
matematicasies.com

Se ha transformado en una indeterminación del tipo 0 \cdot \infty que vimos cómo resolver en indeterminación 0 · infinito

\lim_{x \rightarrow 0^+} \left[ (tg(x)) \cdot ln \left( \frac{1}{x} \right)\right] = \lim_{x \rightarrow 0^+} \frac{ln \left( \frac{1}{x} \right)}{1/tg(x)} = \frac{+\infty}{+\infty}

Ahora podemos aplicar L’Hôpital

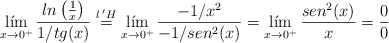
\lim_{x \rightarrow 0^+}\frac{ln \left( \frac{1}{x} \right)}{1/tg(x)} \stackrel{l \:^\prime H}{=} \lim_{x \rightarrow 0^+} \frac{-1/x^2}{-1/sen^2(x)} =  \lim_{x \rightarrow 0^+} \frac{sen^2(x)}{x} = \frac{0}{0}

Volvemos a aplicar L’Hôpital

\lim_{x \rightarrow 0^+} \frac{sen^2(x)}{x}  \stackrel{l \:^\prime H}{=} \frac{2 \cdot sen (x) ─\cdot cos(x)}{1} = \frac{0}{1} = 0

Entonces, como teníamos que:

\lim_{x \rightarrow 0^+} \left[ (tg(x)) \cdot ln \left( \frac{1}{x} \right)\right] = ln(A)

0 = ln(A) \longrightarrow \fbox {A=1}

Por tanto

\lim_{x \rightarrow 0^+} \left( \frac{1}{x} \right)^{tg(x)} = 1

Comentar el artículo