Interpretación geométrica de la derivada
La derivada de una función en un punto es la pendiente de la recta tangente a la función en dicho punto.
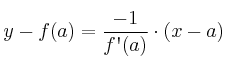
Ello nos permite usar la siguiente fórmula para calcular la tangente a
en el punto de abcisa
:
![]()
Análogamente podemos obtener la recta normal (perpendicular):

Ejemplo
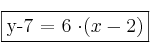
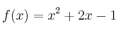
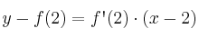
Halla la ecuación de la recta tangente a la curva
en el punto ![]()
La fórmula es ![]()
–
–
– ![]()
Por tanto la ecuación es:

Mensajes
5 de diciembre de 2016, 22:54, por jovana
Propuesta de trabajo.
1º.- Comprueba en primer lugar cómo varía la llamada TVM (Tasa de variación media) de la función en un punto. Para ello varía el incremento
2º .- Comprueba los valores de las pendiente de las recta secantes y cómo varían al acercarse a la pendiente de la recta tangente.
3º.- Mueve el punto a lo largo de la curva.
4º.- Intenta encontrar un punto de la curva de tangente horizontal (es decir de pendiente 0) y un punto con recta tangente cuya pendiente sea 1 (Para ello, si es necesario, aumenta la escala).
5º.- Comprueba que al variar el punto, pero dejando fija la pendiente, varía la TVM dependiendo del punto.