L’Hôpital (II) : indeterminación 0 · infinito

funcioneslímitesRegla de LHôpital

Sabemos aplicar l’Hôpital a las indeterminaciones del tipo \frac{0}{0} y \frac{\infty}{\infty} como vimos en Regla de l’Hôpital (I)

Veamos como aplicar l’Hôpital a las indeterminaciones del tipo 0 \cdot \infty

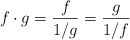
Si hacemos una de las siguientes transformaciones
f \cdot g = \frac{f}{1/g} = \frac{g}{1/f}
se convierte en una indeterminación de tipo \frac{\infty}{\infty} o \frac{0}{0} a las que ya sabemos aplicarle la Regla de l’Hôpital (I)

Ejemplo

 \displaystyle \lim_{x \rightarrow 0^+} x \cdot ln (x) = 0 \cdot (- \infty)

En la imagen se puede apreciar que cuando  x \longrightarrow 0^+ , la función ln(x) tiende a -\infty

función logartimo neperiano de x
limite de la función ln(x) cuando x tiende a 0
matematicasies.com

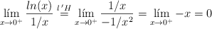
Aplicamos la transformación

 \lim_{x \rightarrow 0^+} x \cdot ln (x) =  \lim_{x \rightarrow 0^+} \frac{ln(x)}{1/x} = \frac{-\infty}{+\infty}

Ahora podemos aplicar L’Hôpital

 \lim_{x \rightarrow 0^+} \frac{ln(x)}{1/x} \stackrel{l \:^\prime H}{=} \lim_{x \rightarrow 0^+} \frac{1/x}{-1/x^2}= \lim_{x \rightarrow 0^+} -x = 0

Comentar el artículo